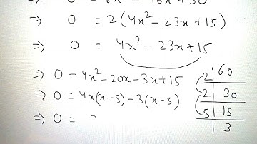
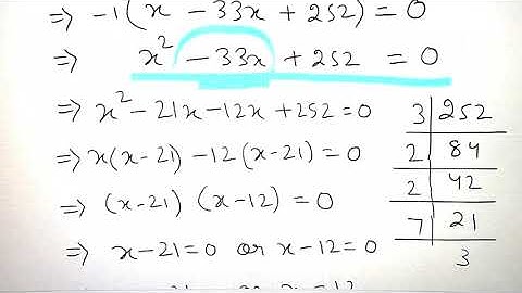
CLASS 10:R.S Agarwal | Ex 4E | Question No. 26 | Chapter 4 | Quadratic equations |||

Tonton & Download Video Musik Gratis

⬇ DOWNLOAD NOW
Kalau muncul iklan pop-up, tutup lalu klik tombol kembali

Download lagu CLASS 10:R.S Agarwal | Ex 4E | Question No. 26 | Chapter 4 | Quadratic equations ||| secara gratis hanya untuk keperluan promosi. Dukung artis favorit kamu dengan membeli musik original di iTunes atau platform resmi lainnya.