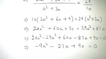
Class 10 Maths (Ex 4E Example 26) Quadratic Equations (RS Aggarwal 2020)

Tonton & Download Video Musik Gratis

⬇ DOWNLOAD NOW
Kalau muncul iklan pop-up, tutup lalu klik tombol kembali

Download lagu Class 10 Maths (Ex 4E Example 26) Quadratic Equations (RS Aggarwal 2020) secara gratis hanya untuk keperluan promosi. Dukung artis favorit kamu dengan membeli musik original di iTunes atau platform resmi lainnya.