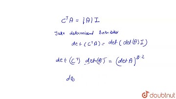
If a, b and c are distinct and D=|[ a b c; b c a; c a b ]|, then the square of the determinant of...

Tonton & Download Video Musik Gratis

⬇ DOWNLOAD NOW
Kalau muncul iklan pop-up, tutup lalu klik tombol kembali

Download lagu If a, b and c are distinct and D=|[ a b c; b c a; c a b ]|, then the square of the determinant of... secara gratis hanya untuk keperluan promosi. Dukung artis favorit kamu dengan membeli musik original di iTunes atau platform resmi lainnya.