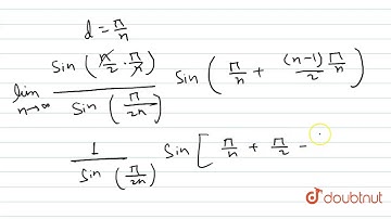
`2^(n-1)sin(pi/n)sin((2pi)/n)....sin((n-1)/n)pi` equals :

Tonton & Download Video Musik Gratis

⬇ DOWNLOAD NOW
Kalau muncul iklan pop-up, tutup lalu klik tombol kembali

Download lagu `2^(n-1)sin(pi/n)sin((2pi)/n)....sin((n-1)/n)pi` equals : secara gratis hanya untuk keperluan promosi. Dukung artis favorit kamu dengan membeli musik original di iTunes atau platform resmi lainnya.