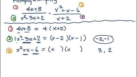
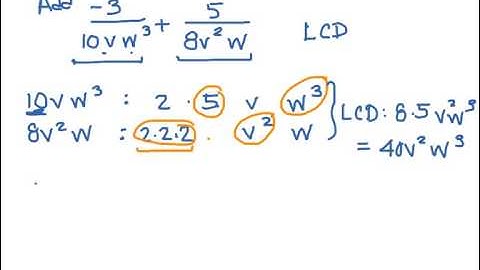
MAT 0028 ALEKS Module 7 Multiplying rational expressions involving multivariate monomials

Tonton & Download Video Musik Gratis

⬇ DOWNLOAD NOW
Kalau muncul iklan pop-up, tutup lalu klik tombol kembali

Download lagu MAT 0028 ALEKS Module 7 Multiplying rational expressions involving multivariate monomials secara gratis hanya untuk keperluan promosi. Dukung artis favorit kamu dengan membeli musik original di iTunes atau platform resmi lainnya.