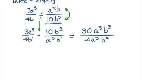
MAT 0028 ALEKS Module 7 Adding rational expressions w/multivariate monomial denominators

Tonton & Download Video Musik Gratis

⬇ DOWNLOAD NOW
Kalau muncul iklan pop-up, tutup lalu klik tombol kembali

Download lagu MAT 0028 ALEKS Module 7 Adding rational expressions w/multivariate monomial denominators secara gratis hanya untuk keperluan promosi. Dukung artis favorit kamu dengan membeli musik original di iTunes atau platform resmi lainnya.