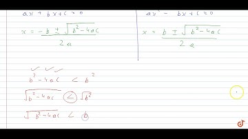
If a,b,c are positive real numbers, then the number of real roots of the equation `ax^2+b|x|+c...

Tonton & Download Video Musik Gratis

⬇ DOWNLOAD NOW
Kalau muncul iklan pop-up, tutup lalu klik tombol kembali

Download lagu If a,b,c are positive real numbers, then the number of real roots of the equation `ax^2+b|x|+c... secara gratis hanya untuk keperluan promosi. Dukung artis favorit kamu dengan membeli musik original di iTunes atau platform resmi lainnya.