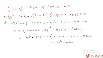
If a,b and c are real numbers in A.P. then the roots of ax^2+bx+c=0 are real for ? JEE Mains test

Tonton & Download Video Musik Gratis

⬇ DOWNLOAD NOW
Kalau muncul iklan pop-up, tutup lalu klik tombol kembali

Download lagu If a,b and c are real numbers in A.P. then the roots of ax^2+bx+c=0 are real for ? JEE Mains test secara gratis hanya untuk keperluan promosi. Dukung artis favorit kamu dengan membeli musik original di iTunes atau platform resmi lainnya.