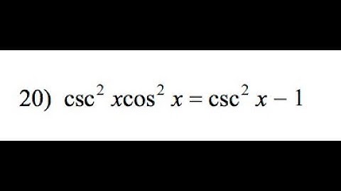
Pre-Calculus Prep: Trig Identity Proof -- csc^2xcos^2x = csc^2x - 1

Tonton & Download Video Musik Gratis

⬇ DOWNLOAD NOW
Kalau muncul iklan pop-up, tutup lalu klik tombol kembali

Download lagu Pre-Calculus Prep: Trig Identity Proof -- csc^2xcos^2x = csc^2x - 1 secara gratis hanya untuk keperluan promosi. Dukung artis favorit kamu dengan membeli musik original di iTunes atau platform resmi lainnya.