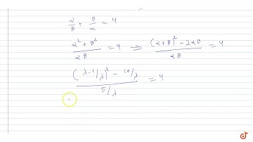
\[\lambda \ne 0\] be in R. If \[\alpha \] and \[\beta \] are the roots \[{x^2} - x + 2\lambda =

Tonton & Download Video Musik Gratis

⬇ DOWNLOAD NOW
Kalau muncul iklan pop-up, tutup lalu klik tombol kembali

Download lagu \[\lambda \ne 0\] be in R. If \[\alpha \] and \[\beta \] are the roots \[{x^2} - x + 2\lambda = secara gratis hanya untuk keperluan promosi. Dukung artis favorit kamu dengan membeli musik original di iTunes atau platform resmi lainnya.