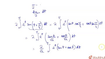
JEE MAINS 2018 integrate `int_0^(2pi) e^x . sin (pi/4 + x/2) dx`

Tonton & Download Video Musik Gratis

⬇ DOWNLOAD NOW
Kalau muncul iklan pop-up, tutup lalu klik tombol kembali

Download lagu JEE MAINS 2018 integrate `int_0^(2pi) e^x . sin (pi/4 + x/2) dx` secara gratis hanya untuk keperluan promosi. Dukung artis favorit kamu dengan membeli musik original di iTunes atau platform resmi lainnya.