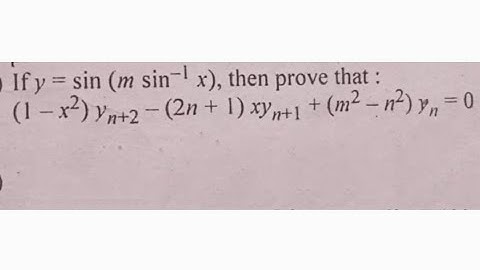
If y = sin(m sin¹ x), prove that:(1-x2)yn+2 (2n+1)xyn+1+(m² - n²) yn = 0 | Leibnitz Theorem

Tonton & Download Video Musik Gratis

⬇ DOWNLOAD NOW
Kalau muncul iklan pop-up, tutup lalu klik tombol kembali

Download lagu If y = sin(m sin¹ x), prove that:(1-x2)yn+2 (2n+1)xyn+1+(m² - n²) yn = 0 | Leibnitz Theorem secara gratis hanya untuk keperluan promosi. Dukung artis favorit kamu dengan membeli musik original di iTunes atau platform resmi lainnya.