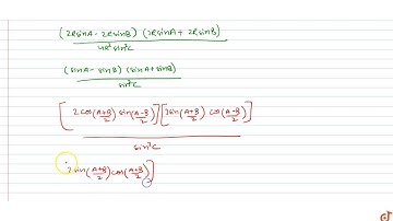
If in a A B C, ∠ C=90^∘, then prove that sin (A-B)=(a^2-b^2)/(a^2+b^2)

Tonton & Download Video Musik Gratis

⬇ DOWNLOAD NOW
Kalau muncul iklan pop-up, tutup lalu klik tombol kembali

Download lagu If in a A B C, ∠ C=90^∘, then prove that sin (A-B)=(a^2-b^2)/(a^2+b^2) secara gratis hanya untuk keperluan promosi. Dukung artis favorit kamu dengan membeli musik original di iTunes atau platform resmi lainnya.