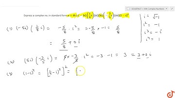
Express the complex numbers in the standard form a + ib: (1 + i)(1 + √31)/(1- i)

Tonton & Download Video Musik Gratis

⬇ DOWNLOAD NOW
Kalau muncul iklan pop-up, tutup lalu klik tombol kembali

Download lagu Express the complex numbers in the standard form a + ib: (1 + i)(1 + √31)/(1- i) secara gratis hanya untuk keperluan promosi. Dukung artis favorit kamu dengan membeli musik original di iTunes atau platform resmi lainnya.