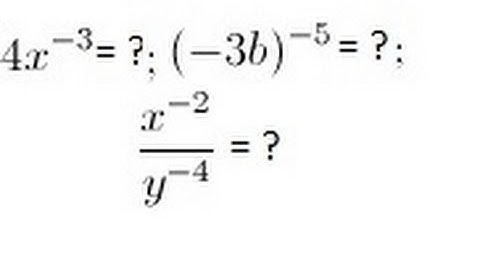
Pre APCalculus Notes 7.1 Examples Simplifying Expressions with Exponents (3 of 5)

Tonton & Download Video Musik Gratis

⬇ DOWNLOAD NOW
Kalau muncul iklan pop-up, tutup lalu klik tombol kembali

Download lagu Pre APCalculus Notes 7.1 Examples Simplifying Expressions with Exponents (3 of 5) secara gratis hanya untuk keperluan promosi. Dukung artis favorit kamu dengan membeli musik original di iTunes atau platform resmi lainnya.