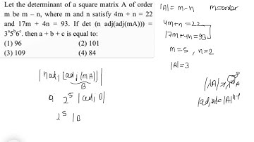
Let the determinant of a square matrix of order m be m-n, where m and n satisfy 4m+n=22 & 17m+4n=93

Tonton & Download Video Musik Gratis

⬇ DOWNLOAD NOW
Kalau muncul iklan pop-up, tutup lalu klik tombol kembali

Download lagu Let the determinant of a square matrix of order m be m-n, where m and n satisfy 4m+n=22 & 17m+4n=93 secara gratis hanya untuk keperluan promosi. Dukung artis favorit kamu dengan membeli musik original di iTunes atau platform resmi lainnya.