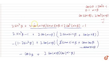
Show that: `2sin^2beta+4cos(alpha+beta)sinalphasinbeta+cos2(alpha+beta)=cos2alpha`

Tonton & Download Video Musik Gratis

⬇ DOWNLOAD NOW
Kalau muncul iklan pop-up, tutup lalu klik tombol kembali

Download lagu Show that: `2sin^2beta+4cos(alpha+beta)sinalphasinbeta+cos2(alpha+beta)=cos2alpha` secara gratis hanya untuk keperluan promosi. Dukung artis favorit kamu dengan membeli musik original di iTunes atau platform resmi lainnya.