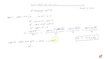
The equation `x^3 + px^2-px-1=0` has three distinct real roots if `p in (-oo,lambda)uu(mu, o...

Tonton & Download Video Musik Gratis

⬇ DOWNLOAD NOW
Kalau muncul iklan pop-up, tutup lalu klik tombol kembali

Download lagu The equation `x^3 + px^2-px-1=0` has three distinct real roots if `p in (-oo,lambda)uu(mu, o... secara gratis hanya untuk keperluan promosi. Dukung artis favorit kamu dengan membeli musik original di iTunes atau platform resmi lainnya.