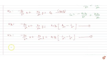
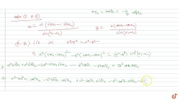
The point of intersection of the tangents at the pointon the ellipse x^2/a^2+y^2/b^2=1 and its co...

Tonton & Download Video Musik Gratis

⬇ DOWNLOAD NOW
Kalau muncul iklan pop-up, tutup lalu klik tombol kembali

Download lagu The point of intersection of the tangents at the pointon the ellipse x^2/a^2+y^2/b^2=1 and its co... secara gratis hanya untuk keperluan promosi. Dukung artis favorit kamu dengan membeli musik original di iTunes atau platform resmi lainnya.