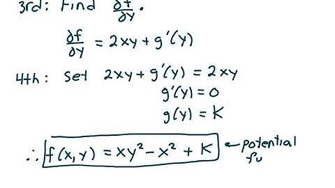
Calculus 3, Section 16.3 (Fundamental theorem of Line Integrals), problems 17, 19, 21, 23

Tonton & Download Video Musik Gratis

⬇ DOWNLOAD NOW
Kalau muncul iklan pop-up, tutup lalu klik tombol kembali

Download lagu Calculus 3, Section 16.3 (Fundamental theorem of Line Integrals), problems 17, 19, 21, 23 secara gratis hanya untuk keperluan promosi. Dukung artis favorit kamu dengan membeli musik original di iTunes atau platform resmi lainnya.