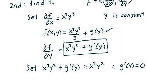
Calculus 3 (Fundamental theorem of line integrals), Section 16.3, problems 3, 4, 5, 7

Tonton & Download Video Musik Gratis

⬇ DOWNLOAD NOW
Kalau muncul iklan pop-up, tutup lalu klik tombol kembali

Download lagu Calculus 3 (Fundamental theorem of line integrals), Section 16.3, problems 3, 4, 5, 7 secara gratis hanya untuk keperluan promosi. Dukung artis favorit kamu dengan membeli musik original di iTunes atau platform resmi lainnya.