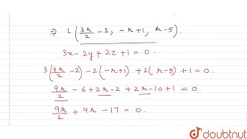
Let Q be the image of the point P(-2,1,-5) in the plane 3x-2y+2z+1=0 Consider the following : 1....

Tonton & Download Video Musik Gratis

⬇ DOWNLOAD NOW
Kalau muncul iklan pop-up, tutup lalu klik tombol kembali

Download lagu Let Q be the image of the point P(-2,1,-5) in the plane 3x-2y+2z+1=0 Consider the following : 1.... secara gratis hanya untuk keperluan promosi. Dukung artis favorit kamu dengan membeli musik original di iTunes atau platform resmi lainnya.