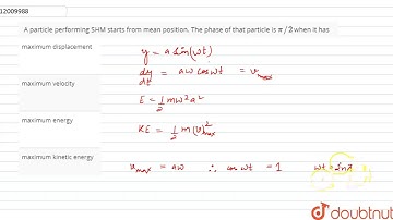
A particle executing S.H.M. starts from the mean position. Its phase, when it reaches the

Tonton & Download Video Musik Gratis

⬇ DOWNLOAD NOW
Kalau muncul iklan pop-up, tutup lalu klik tombol kembali

Download lagu A particle executing S.H.M. starts from the mean position. Its phase, when it reaches the secara gratis hanya untuk keperluan promosi. Dukung artis favorit kamu dengan membeli musik original di iTunes atau platform resmi lainnya.