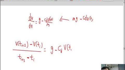
Clase 2-1: Análisis y métodos numéricos ejercicios método Euler

Tonton & Download Video Musik Gratis

⬇ DOWNLOAD NOW
Kalau muncul iklan pop-up, tutup lalu klik tombol kembali

Download lagu Clase 2-1: Análisis y métodos numéricos ejercicios método Euler secara gratis hanya untuk keperluan promosi. Dukung artis favorit kamu dengan membeli musik original di iTunes atau platform resmi lainnya.