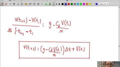
Métodos Numéricos Clase 2-1 Ejercicio Metodo Euler I

Tonton & Download Video Musik Gratis

⬇ DOWNLOAD NOW
Kalau muncul iklan pop-up, tutup lalu klik tombol kembali

Download lagu Métodos Numéricos Clase 2-1 Ejercicio Metodo Euler I secara gratis hanya untuk keperluan promosi. Dukung artis favorit kamu dengan membeli musik original di iTunes atau platform resmi lainnya.