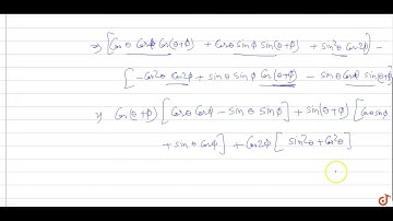
The determinant \( \left|\begin{array}{ccc}\cos (\theta+\phi) & -\sin (\theta+\phi) & \cos 2 \ph...

Tonton & Download Video Musik Gratis

⬇ DOWNLOAD NOW
Kalau muncul iklan pop-up, tutup lalu klik tombol kembali

Download lagu The determinant \( \left|\begin{array}{ccc}\cos (\theta+\phi) & -\sin (\theta+\phi) & \cos 2 \ph... secara gratis hanya untuk keperluan promosi. Dukung artis favorit kamu dengan membeli musik original di iTunes atau platform resmi lainnya.