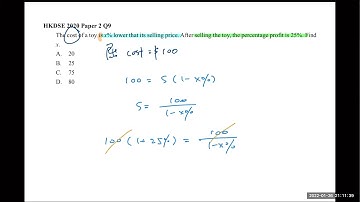
2020 DSE Maths Paper 2 Q9 Solution ( 2020 DSE 數學卷二 Q9 題解 )

Tonton & Download Video Musik Gratis

⬇ DOWNLOAD NOW
Kalau muncul iklan pop-up, tutup lalu klik tombol kembali

Download lagu 2020 DSE Maths Paper 2 Q9 Solution ( 2020 DSE 數學卷二 Q9 題解 ) secara gratis hanya untuk keperluan promosi. Dukung artis favorit kamu dengan membeli musik original di iTunes atau platform resmi lainnya.