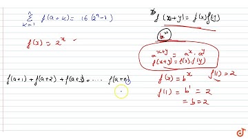
Find the natural number a for which ∑_k=1^n f(a+k)=16(2^n-1), where the function f satisfies the ...

Tonton & Download Video Musik Gratis

⬇ DOWNLOAD NOW
Kalau muncul iklan pop-up, tutup lalu klik tombol kembali

Download lagu Find the natural number a for which ∑_k=1^n f(a+k)=16(2^n-1), where the function f satisfies the ... secara gratis hanya untuk keperluan promosi. Dukung artis favorit kamu dengan membeli musik original di iTunes atau platform resmi lainnya.