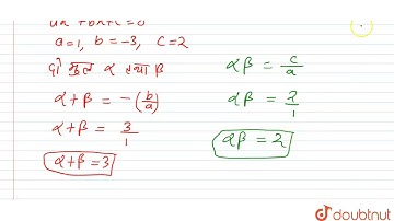
यदि alpha , beta समीकरण x^(2) + px - r = 0के मूल है तथा(alpha )/( 3), 3 beta समीकरणx^(2) + q x -...

Tonton & Download Video Musik Gratis

⬇ DOWNLOAD NOW
Kalau muncul iklan pop-up, tutup lalu klik tombol kembali

Download lagu यदि alpha , beta समीकरण x^(2) + px - r = 0के मूल है तथा(alpha )/( 3), 3 beta समीकरणx^(2) + q x -... secara gratis hanya untuk keperluan promosi. Dukung artis favorit kamu dengan membeli musik original di iTunes atau platform resmi lainnya.