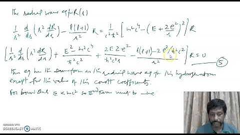
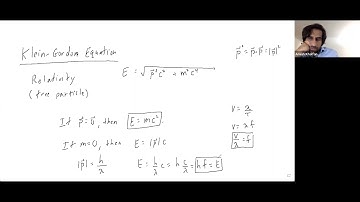
Lecture 3.7: Klein Gordon Equation: Interaction with Electromagnetic Field (Hydrogen Like atom)

Tonton & Download Video Musik Gratis

⬇ DOWNLOAD NOW
Kalau muncul iklan pop-up, tutup lalu klik tombol kembali

Download lagu Lecture 3.7: Klein Gordon Equation: Interaction with Electromagnetic Field (Hydrogen Like atom) secara gratis hanya untuk keperluan promosi. Dukung artis favorit kamu dengan membeli musik original di iTunes atau platform resmi lainnya.