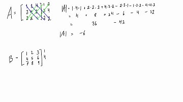
Lesson 7 - Determinant Of A 3x3 Matrix - Fast Method (Linear Algebra)

Tonton & Download Video Musik Gratis

⬇ DOWNLOAD NOW
Kalau muncul iklan pop-up, tutup lalu klik tombol kembali

Download lagu Lesson 7 - Determinant Of A 3x3 Matrix - Fast Method (Linear Algebra) secara gratis hanya untuk keperluan promosi. Dukung artis favorit kamu dengan membeli musik original di iTunes atau platform resmi lainnya.