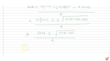
The number of values of `theta in [0,2pi]` satisfying `r sintheta=sqrt3 and r+4sintheta =2(sqr...

Tonton & Download Video Musik Gratis

⬇ DOWNLOAD NOW
Kalau muncul iklan pop-up, tutup lalu klik tombol kembali

Download lagu The number of values of `theta in [0,2pi]` satisfying `r sintheta=sqrt3 and r+4sintheta =2(sqr... secara gratis hanya untuk keperluan promosi. Dukung artis favorit kamu dengan membeli musik original di iTunes atau platform resmi lainnya.