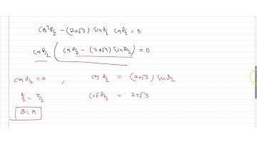
If `r sin theta = sqrt3, r + 4 sin theta = 2(sqrt3 + 1)`,and `0 lt= theta lt= 2pi`, then `t

Tonton & Download Video Musik Gratis

⬇ DOWNLOAD NOW
Kalau muncul iklan pop-up, tutup lalu klik tombol kembali

Download lagu If `r sin theta = sqrt3, r + 4 sin theta = 2(sqrt3 + 1)`,and `0 lt= theta lt= 2pi`, then `t secara gratis hanya untuk keperluan promosi. Dukung artis favorit kamu dengan membeli musik original di iTunes atau platform resmi lainnya.