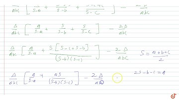
With usual notations, prove that in a triangle ABC b-c/r_1+c-a/r_2+a-b/r_3=0

Tonton & Download Video Musik Gratis

⬇ DOWNLOAD NOW
Kalau muncul iklan pop-up, tutup lalu klik tombol kembali

Download lagu With usual notations, prove that in a triangle ABC b-c/r_1+c-a/r_2+a-b/r_3=0 secara gratis hanya untuk keperluan promosi. Dukung artis favorit kamu dengan membeli musik original di iTunes atau platform resmi lainnya.