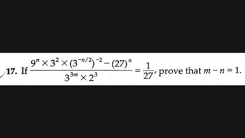
if 9^n*3^2*3^n-27^n/3^3m*2^3=1/27 prove that m-n=1| RD Sharma class 9 maths chapter 2 Example 6

Tonton & Download Video Musik Gratis

⬇ DOWNLOAD NOW
Kalau muncul iklan pop-up, tutup lalu klik tombol kembali

Download lagu if 9^n*3^2*3^n-27^n/3^3m*2^3=1/27 prove that m-n=1| RD Sharma class 9 maths chapter 2 Example 6 secara gratis hanya untuk keperluan promosi. Dukung artis favorit kamu dengan membeli musik original di iTunes atau platform resmi lainnya.